| 일 | 월 | 화 | 수 | 목 | 금 | 토 |
|---|---|---|---|---|---|---|
| 1 | 2 | 3 | 4 | 5 | 6 | 7 |
| 8 | 9 | 10 | 11 | 12 | 13 | 14 |
| 15 | 16 | 17 | 18 | 19 | 20 | 21 |
| 22 | 23 | 24 | 25 | 26 | 27 | 28 |
- red-black tree
- 13305
- c++
- 구현
- Heap
- Articulation_Point
- Biconnected_Component
- 예제
- Algorithm
- 자료구조
- 문법
- 백준
- data_structure
- 알고리즘
- 5397
- list
- sort
- Critical_Path_Analysis
- deletion
- 총정리
- Pair
- sstream
- '0'
- connected_component
- template
- singly Linked List
- function_template
- class_template
- qsort
- STL
- Today
- Total
- Today
- Total
- 방명록
어제의 나보다 성장한 오늘의 나
[Algorithm] BFS 와 DFS 본문
BFS 와 DFS
용어
Discover : Vertex를 처음 방문했을 때 vertex를 discover 했다고 함
Explore : edge를 처음 방문했을 때
Finish : 자신의 노드 뿐만 아니라 연결된 노드들 모두 discovered 되었을 때 그 노드는 Finish 되었다고 함
discover time : discover 한 시간
finish time : finish한 시간
discover 되기 이전의 vertex 색깔 - 흰색
discover 되었지만 연결 되어있는 vertex 중에 discover가 안된 vertex가 있는 경우 - 회색.
discover 되었고 finish 되었을 경우 – 검정색
위의 색깔로 discover or finish 되었는지 나타내어 과정을 가시화 한다.
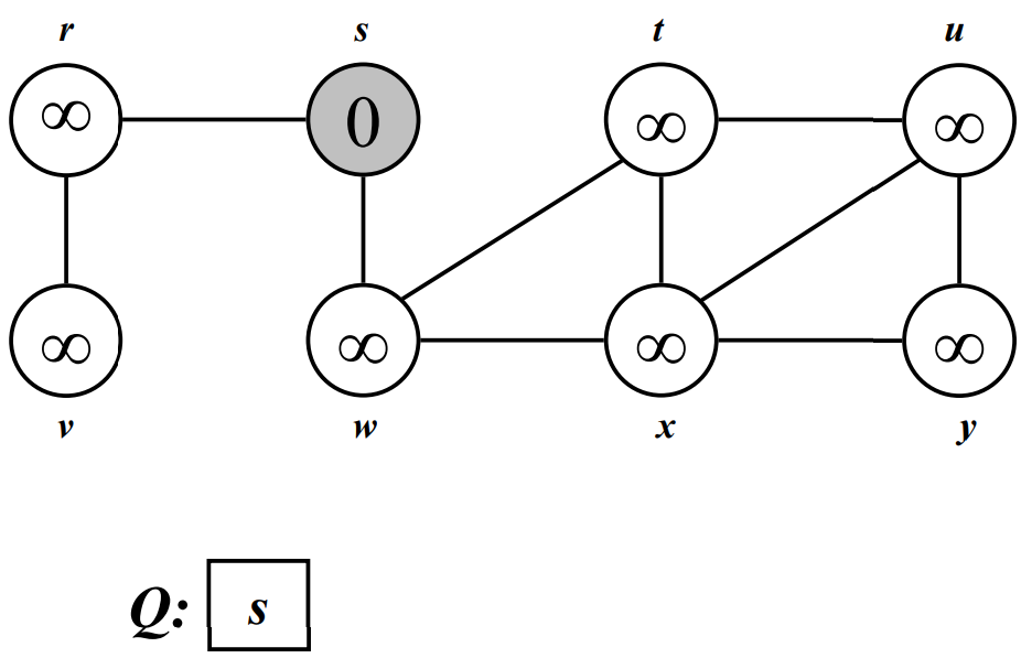
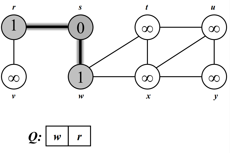
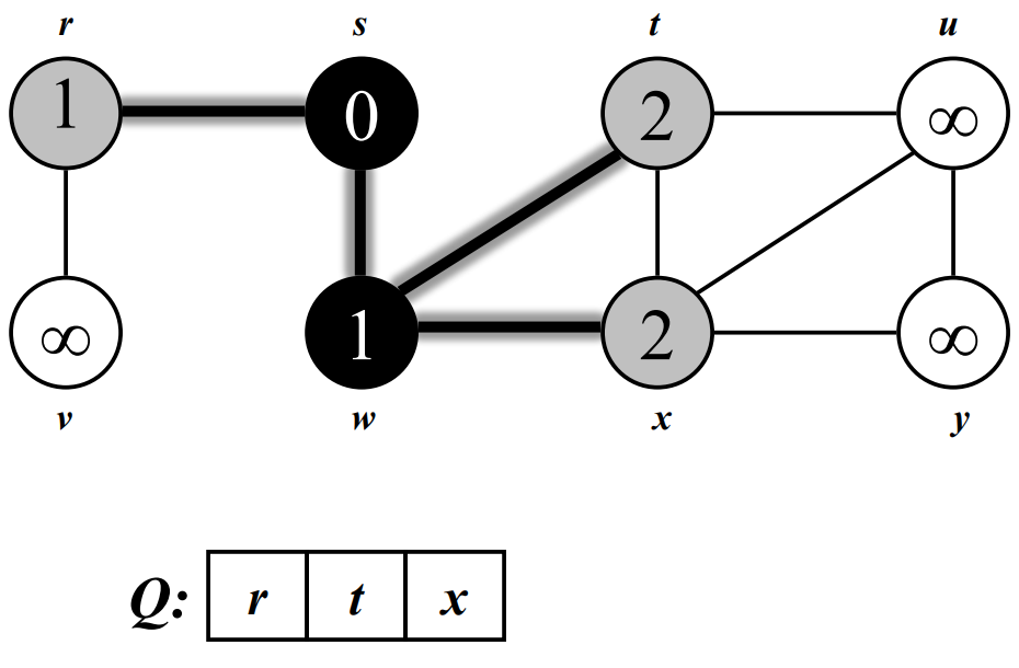
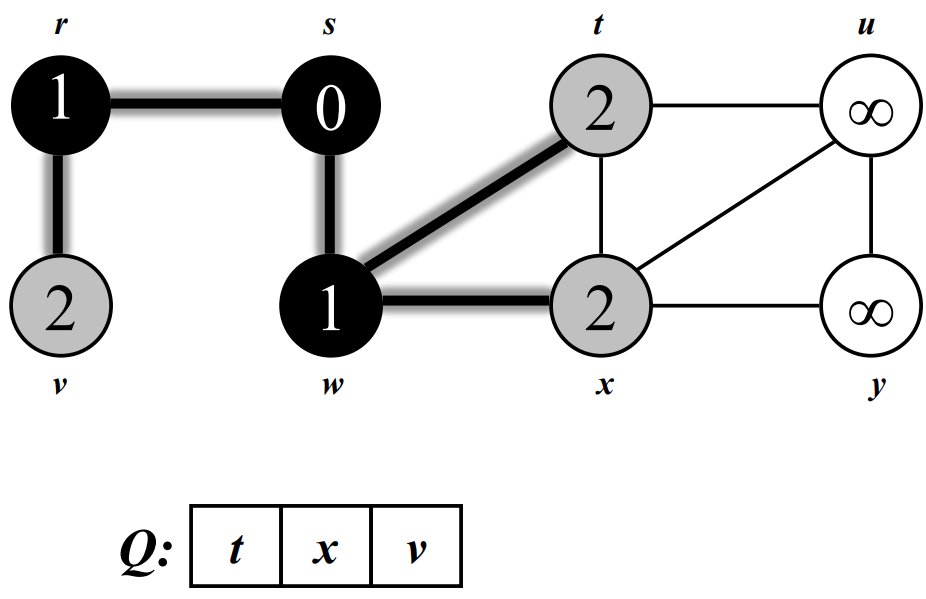
BFS
탐색 방법
◎Queue 사용
◎특정 노드를 탐색하고 그 노드의 주변 노드들을 모두 탐색
◎주변 노드 탐색이 끝났다면 주변 노드의 주변 노드들을 탐색
Code

코드 설명
D[u]는 u까지의 distance. 무한대로 초기화
파이[u]는 u의 조상
Color[s]는 시작할 때 방문 했으므로 Gray로 초기화 .
Distance[s]는 자신과 자신과의 거리이기 때문에 0
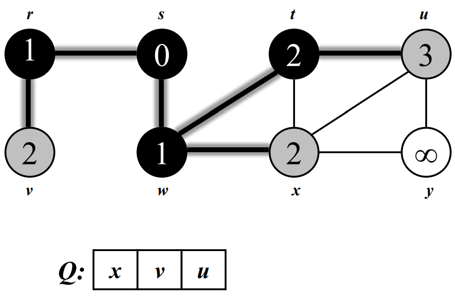
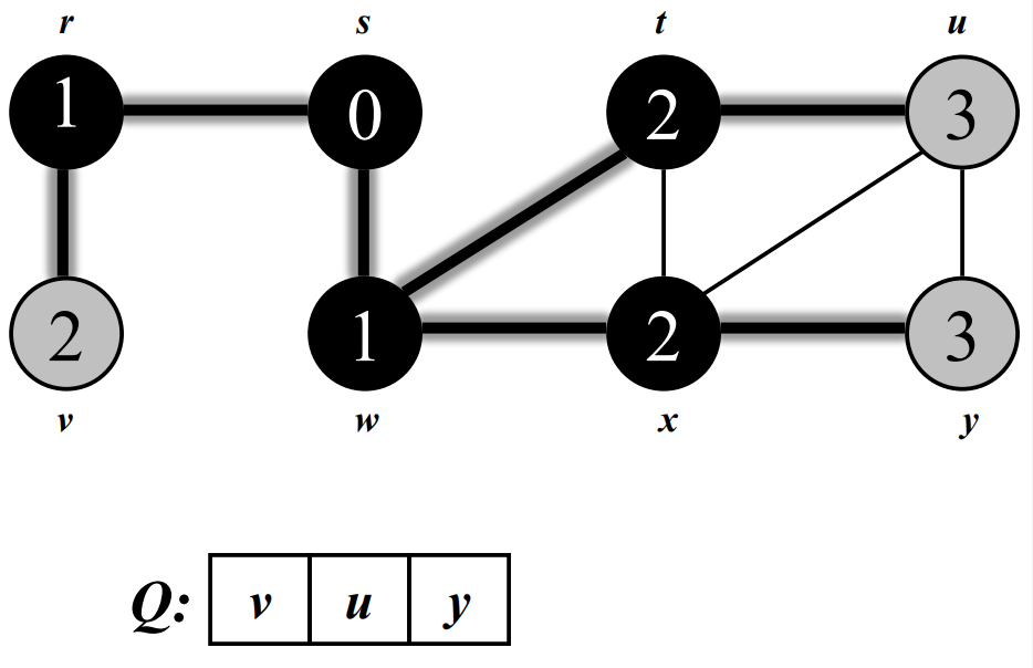
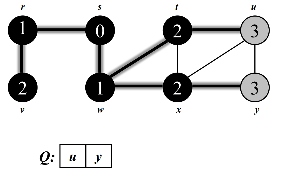
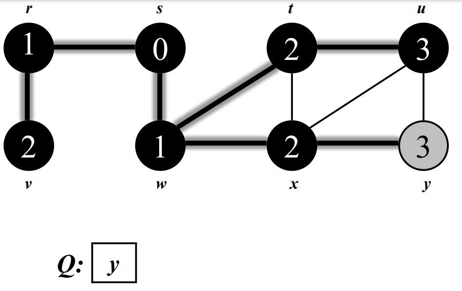
Queue를 이용하여 주변 vertex들을 순서대로 discover할 수 있다.
discover 된 vertex들은 또 Queue에 들어간다.
주변 vertex들이 다 discover 되면 Queue에 있는 vertex들을 꺼내어 그들의 주변 vertex들을 discover한다.
Example












시간 복잡도

DFS
탐색 방법
◎ Stack을 이용 한다
◎가능한 한 깊이 들어가는 방법
◎ 만약 더 discover 할 수 있는 노드가 없다면 가장 최근에 discovered한 노드를 찾아 나가는 방법이다. (Stack을 이용한 Backtracking)
Code

코드 설명
일단 이 함수에서는 Stack을 사용하지 않고 Recursion을 사용한다.
Recursion으로 함수 자체를 Stack처럼 사용하는 것이라서 이 방법이 가능하다.
D[v] : 노드 v 의 discover time
F[v] : 노드 v 의 finish time
시간 복잡도는 세타(V+E)
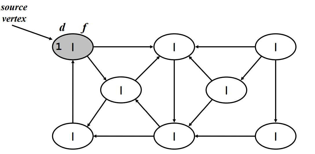
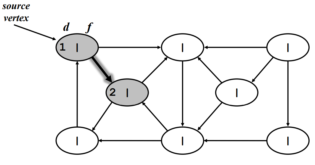
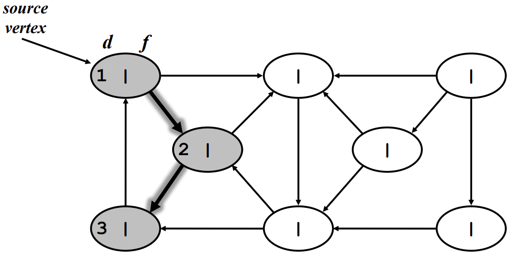
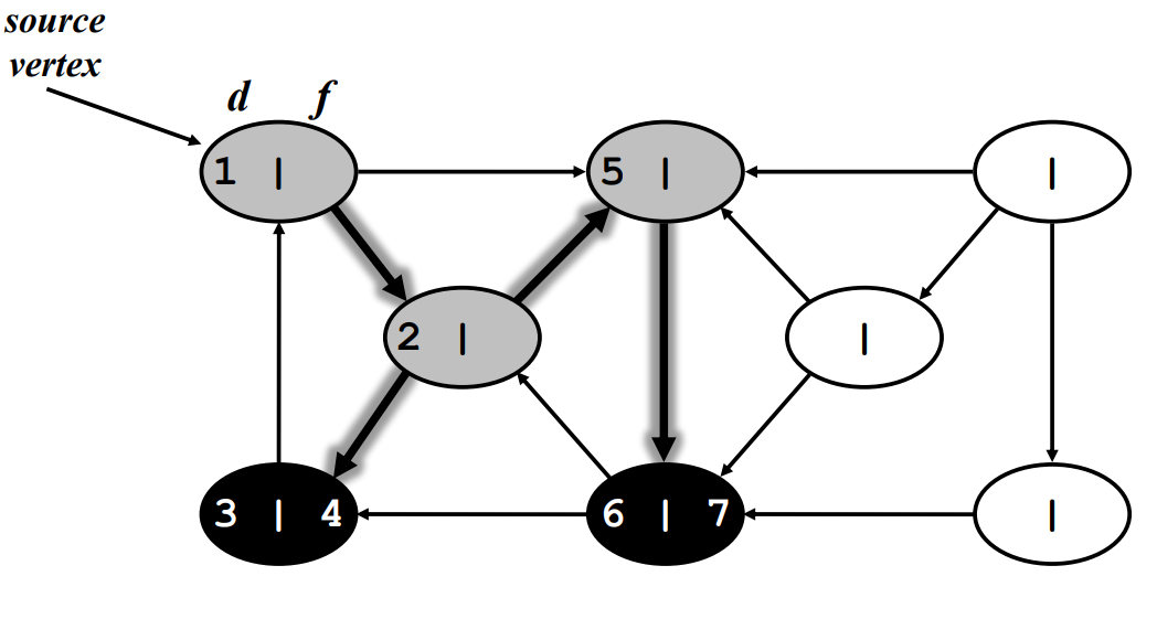
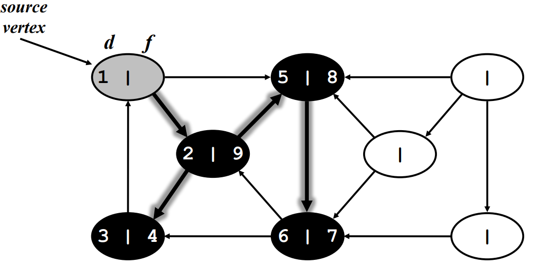
Example
















노드 속에 D[v] | F[v] 을 나타냄
D[v]가 11인 노드는 연결이 끊겨서 새로운 source vertex로 맨 오른쪽 vertex가 선택 되었다.
D[u]와 f[u] 에 관한 parenthesis therorem
1)

이것이 성립하는 경우 vertex u와 v는 parent-descendant 관계가 아니다.
2)

이 것이 성립하는 경우 vertex v 는 u의 descendant 이다.
3)

u는 v의 descendant이다.
4)

불가능한 경우이다.
DFS에서의 edge들

Back edge , forward edge , cross edge는 위의 조건을 만족하면서 tree edge가 아닌 edge이다.
예시와 함께 보자



